歐洲正經曆第三波疫情,多地麵臨(lin) 再次封鎖,形勢不容樂(le) 觀,全球經濟仍繼續緩慢複蘇。而中國港口的集裝箱可用性已有所提高,Container xChange的數據顯示,中國集裝箱長期短缺的跡象正在緩解,與(yu) 春節前相比,中國主要港口的集裝箱可用性指數(CAx)增長了56%。目前運輸市場高位回落,多數航線運價(jia) 下跌已開始小幅回落,上周,上海航運交易所發布的上海出口集裝箱綜合運價(jia) 指數為(wei) 2583.87點,較上期下跌2.0%。
雖然亞(ya) 洲集裝箱即期運價(jia) 較春節後的創紀錄高點略有回落,但回程和二級交易的價(jia) 格繼續上漲。4月起,多家船公司陸續公布調整運價(jia) 即各種附加費,看來4月運價(jia) 可能又要漲了!
近期歐洲多國疫情有所反彈,法國、德國、意大利等國多地再次封鎖,影響了經濟恢複。最近一期波羅的海運費周指數(Freightos Baltic Index, FBX)顯示,北歐的即期運價(jia) 為(wei) 每40英尺7665美元,較上期下降4%。更低於(yu) 本月初的逾8000美元。

上周最近一期SCFI指數顯示,上海出口至歐洲基本港市場運價(jia) (海運及海運附加費)為(wei) 3665美元/TEU,較上期下跌1.3%。
然而,地中海港口的FBX周指數保持穩定,每40英尺8001美元,較前期下降1%。SCFI指數顯示,上海出口至地中海基本港市場運價(jia) (海運及海運附加費)為(wei) 3901美元/TEU,較上期下跌3.0%。

美國疫情出現放緩跡象,美國經濟複蘇緩慢,但生活物資需求依然強勁。下周進港貨量又將迎來一波峰值。雖然聖佩羅灣等待靠泊的船隻有所減少,但等待的時間不見縮短仍達到7.8天。更有的船隻等待達兩(liang) 周。


從(cong) 亞(ya) 洲到美國西海岸的即期運價(jia) 放棄了前一周的漲幅,下跌8%至每40英尺4212美元。

但是,由於(yu) 貨主試圖避開極度擁堵的美國西海岸港口,美國東(dong) 海岸的即期運價(jia) 上漲勢頭強勁,FBX指數達到每40英尺5729美元,加上一期上漲3%。

根據SCFI指數:運價(jia) (海運及海運附加費)
•波斯灣航線:至基本港市場運價(jia) 為(wei) 1373美元/TEU,較上期下跌3.9%。
•澳新航線:至基本港市場運價(jia) 為(wei) 2012美元/TEU,較上期下跌4.0%。
•南美航線:至基本港市場運價(jia) 為(wei) 6855美元/TEU,較上期下跌7.0%。
疫情導致約2500萬(wan) 個(ge) 集裝箱無法使用,運費飆升。有分析人士悲觀的表示,集裝箱短缺以及隨之而來的港口擁堵可能會(hui) 持續到2021年下半年。不過,集裝箱租賃和交易平台Container xChange的數據顯示,中國集裝箱長期短缺的跡象正在緩解。與(yu) 春節前相比,中國主要港口的集裝箱可用性指數(CAx)增長了56%。
與(yu) 春節前相比,上海20英尺集裝箱和40英尺集裝箱的可用性指數(CAx)分別上漲了64%和112%。

Container xChange的首席執行官兼創始人Johannes Schlingmeier博士說,盡管春節期間中國產(chan) 出的季節性下降比通常情況要弱,但這仍有助於(yu) 改善集裝箱供需平衡。根據Container xChange的數據,集裝箱價(jia) 格仍處於(yu) 異常高位,但集裝箱價(jia) 格已從(cong) 1月份5593美元的峰值降至2月份的3750美元,反映了集裝箱供應的增加。
CAx指數低於(yu) 0.5意味著離開港口的集裝箱多於(yu) 進入港口的集裝箱,而高於(yu) 0.5則意味著進入港口的集裝箱多於(yu) 離開港口的集裝箱。
在上海、青島、大連和寧波港口,大連的集裝箱可用性最高。農(nong) 曆新年後,其20英尺箱子的CAx指數達到0.79,40英尺箱子的CAx指數達到0.80。大連是四個(ge) 港口中唯一一個(ge) 進入2021年20英尺和40英尺集裝箱CAx均高於(yu) 0.5的港口。今年大連集裝箱的可用性有所提高,但低於(yu) 其他港口。
Schlingmeier說:“一周的指數值大於(yu) 0.5並不意味著什麽(me) ,但像上海和中國其他主要港口那樣連續幾周超過0.5,這意味著最終有更多的集裝箱定期進港,這才有機會(hui) 減少集裝箱供需失衡。”“由於(yu) 仍然存在著如此多的供應鏈中斷,我們(men) 預計中國和其他地區的集裝箱供應仍將不穩定。但到目前為(wei) 止,有積極跡象表明,主要出口中心集裝箱的可用性正在改善。”
MSC實施錯誤申報費(CMD)
在下列情況下,MSC將實施錯誤申報費(CMD):
•在MSC確認預訂後,如果費率水平低於(yu) 最初預訂的水平,任何named account的變更。
•發現任何濫用合同的情況(與(yu) 最初提交費率的商品、裝卸港和/或賬戶不同)
錯誤申報費(CMD)將針對從(cong) 柬埔寨、中國、中國香港、印度尼西亞(ya) 、日本、韓國、馬來西亞(ya) 、緬甸、菲律賓、新加坡、台灣、泰國和越南起運港的所有貨物駛往以下目的港收取1000美元/集裝箱:
•至除美國以外的任何目的地:自2021年3月22日(提單日期)起,直至另行通知。
•至美國:自2021年4月20日(提單日期)起,另行通知。

達飛調整遠東(dong) 至印度次大陸費率I
為(wei) 了持續為(wei) 客戶提供在亞(ya) 印度次大陸航線上可靠和高效的服務,達飛通知客戶增加以下費用:
生效日期:2021年4月1日(提單日期):
始發港:遠東(dong) 所有港口
目的港:巴基斯坦、印度西海岸、印度東(dong) 海岸和斯裏蘭(lan) 卡
箱型:幹箱、OOG特種箱、散雜箱和冷藏箱
金額:+ USD200/20' | + USD400/40'

達飛調整亞(ya) 洲到喀麥隆杜阿拉PSS
為(wei) 繼續努力為(wei) 客戶提供可靠而有效的服務,達飛通知調整旺季附加費:
生效日期:2021年4月1日(裝船日期):
FROM:東(dong) 北亞(ya) 、東(dong) 南亞(ya) 、中國、中國香港和中國澳門特別行政區
TO:喀麥隆杜阿拉
標準:150美元/幹箱

HPL調整亞(ya) 洲至拉丁美洲ACO
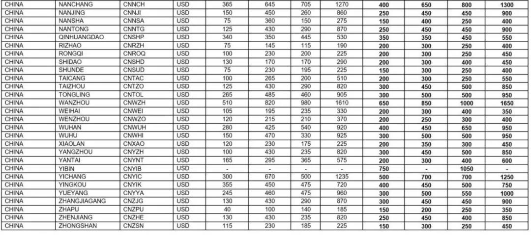
自2021年4月17日起,赫伯羅特將針對以下港口調整Arbitrary Charge Origin (ACO),(都是中國港口、費率調升)如下所示:



赫伯羅特征收東(dong) 亞(ya) 至美國和加拿大GRI
赫伯羅特官網發布通知,自2021年4月15日(date of cargo receipt at origin)起,將在從(cong) 東(dong) 亞(ya) 到美國和加拿大所有目的地的東(dong) 行航線實施以下GRI。
該GRI適用於(yu) 以下所有幹箱、冷藏箱、冷藏幹用箱(Non-OperatingReefer,簡稱NOR)、罐式集裝箱、平板貨櫃和開頂集裝箱。
所有20'集裝箱:960美元
所有40'集裝箱:1200美元
東(dong) 亞(ya) 包括:日本、韓國、中國、中國台灣、中國香港、中國澳門、越南、老撾、柬埔寨、泰國、緬甸、馬來西亞(ya) 、新加坡、文萊、印度尼西亞(ya) 、菲律賓和俄羅斯太平洋沿岸省份的國家/地區。

HPL調整土耳其至東(dong) 亞(ya) 價(jia) 格
赫伯羅特特宣布,從(cong) 土耳其至東(dong) 亞(ya) 的東(dong) 行貿易航線,所有20'和40'通用(包括高箱)集裝箱的所有貨物的海運費率將提高。適用於(yu) 2021年4月1日起的航次,直至另行通知,赫伯羅特從(cong) 土耳其到東(dong) 亞(ya) 的海運費率調整如下:

HPL調整意大利至東(dong) 亞(ya) 價(jia) 格
赫伯羅特特宣布,從(cong) 意大利至東(dong) 亞(ya) 的東(dong) 行貿易航線,所有20'和40'(包括高箱)特殊集裝箱的所有貨物的海運費率將提高。適用於(yu) 2021年4月1日起的航次,直至另行通知,H赫伯羅特從(cong) 意大利到東(dong) 亞(ya) 的海運費率調整如下:

來源:海運網
中國電子電器出口印度尼西亞(ya) SNI合規清關(guan) 門到門服務
2025-09-29跨境電商Lazada 攜手天貓,“一鍵輕出海” 激活東(dong) 南亞(ya) 6 億(yi) 市場
2025-09-18中國布條出口印度尼西亞(ya) 配額清關(guan) 的重要性有哪些?
2025-09-10