Alphaliner發布的最新數據顯示,截至2021年4月2日,全球運營集裝箱船總運力為(wei) 24,478,908TEU,較一個(ge) 月前增加了121,612TEU。全球運營集裝箱船數量為(wei) 6,194艘,較前一月前減少43艘。全球運營集裝箱船舶總噸位,達到294,721,098載重噸。
全球前20大班輪公司排名方麵,除海豐(feng) 集運和X-Press Feeders Group互換排名外,其他均無變化。

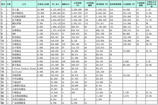
全球20大班輪公司及中國內(nei) 地集運企業(ye) 最新運力排名
截至2021年4月2日
具體(ti) 運力方麵,地中海航運成為(wei) 運力增加最多的班輪公司,其當前共運營591艘集裝箱船,總運力達3,902,661TEU,較上月新增33,465TEU。新造船訂單數量為(wei) 22艘,總計451,544TEU,新造集裝箱船占其總運力份額為(wei) 11.6%。
赫伯羅特名列新增運力第二位,當前共運營255艘集裝箱船,總運力1,774,132TEU,較上月新增29,591TEU。新增10艘租賃船舶,新造船數量僅(jin) 為(wei) 6艘,共計141,600TEU,占其運力份額的8%。
萬(wan) 海航運新增運力排名第三,當前共運營129艘集裝箱船,總運力355,608TEU,較上月新增27,571TEU。新造船數量為(wei) 30艘,共計130,684,占其運力份額的36.7%。

以星航運當前共計運營96艘集裝箱船,總運力416,976TEU,較上月新增23,233TEU。HMM當前共計運營74艘集裝箱船,總運力750,872TEU,較上月新增21,477TEU。達飛集團當前共運營557艘集裝箱船,總運力3,016,687TEU,新增運力18,602TEU。長榮海運共運營199艘集裝箱船,總運力1,327,918TEU,較上月新增17,483TEU。
此外,海豐(feng) 集運總運力較上月新增5,745TEU;馬士基總運力較上月新增4,212TEU;長錦商船總運力較上月新增2,663TEU;陽明海運總運力較上月新增1,200TEU。
值得關(guan) 注的是,太平船務是20大班輪公司中,近一個(ge) 月運力減少最多的企業(ye) ,共計減少29,398TEU。緊隨其後的是中遠海運,總運力減少了12,255TEU;安通控股總運力減少了5,324TEU。

近期,集運業(ye) 有多筆新造船訂單披露,包括地中海航運、達飛集團、長榮海運等班輪公司,都宣布了造船計劃,這引發了業(ye) 界對於(yu) 運力過剩的擔憂和“投機造船”的指責。
不過,包括獨立船東(dong) 塞斯潘CEO陳兵在內(nei) 的多位業(ye) 界人士均表示,大量的投機性訂單不太可能再度出現,盡管從(cong) 絕對值看,如今的訂單量更高,但從(cong) 訂造運力占總運力比例來看,隻有15%,遠低於(yu) 此前的份額。
陳兵還指出:“10年前,有25家班輪公司占據市場85%的份額,現在這個(ge) 數字已下降至9到10家。這意味著,如今投機性訂單很難出現。現在運營商們(men) 都知道客戶有哪些,而以前的市場並不那麽(me) 透明,公司總想著會(hui) 有更多的潛在客戶。”
其他進入全球運力百強的內(nei) 地航運企業(ye) 方麵,中外運集運排名第23位,較上月上升3位;寧波遠洋排名不變,依然位居第37位;上海錦江航運上升1位至第40位;大連信風海運上升3位,排名第41位;中聯航運在3月初上榜前100大後,排名迅速上升,目前排名第52位;太倉(cang) 港集裝箱海運下降6位至第63位;天津達通航運上升5位至第74位;廣西鴻翔船務下降1位至第98位。
來源:中國航務周刊
中國電子電器出口印度尼西亞(ya) SNI合規清關(guan) 門到門服務
2025-09-29跨境電商Lazada 攜手天貓,“一鍵輕出海” 激活東(dong) 南亞(ya) 6 億(yi) 市場
2025-09-18中國布條出口印度尼西亞(ya) 配額清關(guan) 的重要性有哪些?
2025-09-10